Premium Resources

We know the secret of your success

MT2529, Structural Analysis (2018) Exam Solution

=N=6,000.00

Examination Department of Mechanical Engineering ___________________________________________________________________________

Course: Date, time: Examiner: Means: Grades:

MT2529, Structural Analysis

2018-08-16, 09:00 – 14:00
Ansel Berghuvud
Writing materials, pocket calculator F<10,E>=10,D>=13,C>=16=B>=19,A>=22 Complete solutions in English must be submitted

___________________________________________________________________________

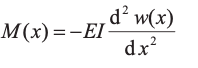
1. Consider an infinitesimally small part of a beam for which the assumed loads are shown in the figure 1.1 below.

The bending moment is

where E is the Young’s modulus, I is the moment of inertia about the y-axis, and w is the vertical deflection of the beam. Derive the differential equation for the Euler-Bernoulli beam theory given below.

Hint: Noticing that the terms qdx and dV are infinitesimal quantities imply that some terms in the moment equilibrium can be neglected. (3 p)

2. Consider an initial value problem governed by the equation

  1. Determine the function value y0.8 for the equation with an error of Oh3 using the Euler method combined with Richardson extrapolation, and also specify the total number of f-calculations needed for this. (2p)
  2. Further, by knowing the Euler method has an error of Oh, produce an estimate of how many steps that would be needed with the Euler method only for similar accuracy. (1p)

3. Consider the loaded cantilever beam with length L and constant bending stiffness EI shown in the figure 3.1 below. Use the differential equation for the Euler-Bernoulli beam theory to

4. The study of error has become important in both the development of new numerical methods and in applying them to problems.

a)  Describe three different possible sources of errors. (2p)

Answers (Purchase paper to get full solution)

  • Experimental Errors – Measurement errors
  • Truncation Errors – Caused by prematurely breaking off a sequence of computational steps necessary for producing an exact result
  • Round-off errors – Errors arising from the process of rounding off during computation. Especially during more arithmetic operations.
  • Programming errors – Blunders caused during programming

b)  Explain what is meant by a stable computational algorithm. (1p)

If the errors in the intermediate results have little influence on the final results, then the computational algorithm is known as the stable computational Algorithm

5. A signal h(n) recorded during one second and is shown in Figure 5.1. Estimate the following parameters of h(n):

a) What is the RMS amplitude of the signal? (1 p)


b) What is the sampling frequency the signal was sampled with? (1 p)

c) What is the phase of the signal? (1 p)

Detailed description of the estimation process is required

 

6. (3 p)

The two-sided linear spectrum of the signal y(n) is shown in the Figure 6.1.
Number of samples N = 512 with Fs = 256 Hz were acquired. The Matlab command fft() produced the spectrum Y(k), where k = 0,...,511.

Estimate the magnitudes and the frequencies (in Hz) of the signal y(n) and write the mathematical expression for the time signal y(t). Detailed description of the estimation process is required.

7. Pair the signals h(t), shown in Figure 7.1-7.3, with its respective Laplace transform shown in Figure A-C. Motivate each pairing. (3p)

8.

Assume that the input-output relationship can be modelled as a single-degree-of-freedom system with M = 5 [kg], as shown in Figure 8.1. In this model, f(t) is the applied force at the free end of the cantilever beam and x(t) is the displacement response at the free end.

Use the experimental results shown in Figure 8.2 to determine appropriate value on
K [unit ?].
(1.5 p)

The resonance frequency of the system in the Figure 8.2 has to be increased to the new value, which is two times greater than the current resonance frequency. What can be modified and how much? Give two options. For each option state the numerical value and correct unit. (1.5 p)

Purchase paper to get full solution by adding to cart

Last updated: Mar 01, 2022 12:55 PM

Can't find a resource? Get in touch

AcademicianHelp

Your one-stop website for academic resources, tutoring, writing, editing, study abroad application, cv writing & proofreading needs.

Get Quote
TOP